我院在模拟集成电路设计研究领域取得重要进展,研究成果 《A 140 pW, –77 dB PSRR, PMOS-Only Voltage Reference Using Pre-Regulation Technique With Gate and Bulk Feedback》在集成电路设计领域国际权威期刊《IEEE Transactions on Circuits and Systems II: Express Briefs》上发表。

随着物联网(IOT)微型设备的广泛应用,其续航问题成为制约其发展的瓶颈,因此对低功耗电路的需求迅速增加。待机模式下,电压基准源(VR)通常是保持工作的,需要将其功率损耗降到纳瓦或皮瓦数量级,从而在有限的能源下降低待机功耗并延长续航时间。此外,VR还需要在工艺、电源电压、温度变化时能够提供稳定的输出电压。与使用双极结型晶体管(BJT)的带隙基准源(BGR)相比,CMOS电压基准源(CVR)具有更低的功耗和更小的面积,因而备受关注。然而,CVR通常对工艺、温度和电源电压(PVT)的变化更为敏感,尤其是在低电压供电下。
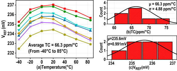
针对上述挑战,研究团队提出了创新性的电路结构。该结构仅使用4个PMOS晶体管构成电压基准源电路,具有内在的低工艺偏差特性。该电路通过预调节电路为核心电路提供电源,从而降低参考电压对电源电压的依赖性。预调节电路和核心电路均由2个PMOS晶体管组成,并通过晶体管的泄漏电流进行偏置。在预调节电路中,采用了栅和衬底反馈技术,从而在不添加任何其他额外晶体管的情况下进一步提高了线性灵敏度(LS)和电源抑制比(PSRR)。采用0.18 μm CMOS工艺制造,7个样品的测试结果表明,在0.45V的最小电源电压下,温度25°C时,该CVR电路可以输出235.6mV的基准电压,功耗仅为140pW。基准电压的平均LS为0.033%/V,在100Hz和1kHz频率下的电源抑制比分别为–77dB和–72dB。在-40℃至85℃的温度范围内,未进行温度校正下,输出电压的平均温度系数(TC)为66.3ppm/℃。芯片面积仅为0.0007mm2。与已有方案相比,本设计在输出电压精度、功耗、面积等方面具有综合性能优势。


图|电压基准源电路原理图和芯片显微镜照片


图|电压基准源启动时间和电源抑制比测试结果

图|电压基准源线性调整率和静态电流测试结果

图|电压基准源温度特性测试结果
超低功耗CMOS电压基准源具有结构简单和小面积的独特优势,该研究成果在穿戴式设备、物联网、植入式医疗设备等低功耗系统有着广泛的应用前景。
该成果由我院李思臻副教授、余凯副教授及研究生邱宇浩,澳门大学黄沫教授共同完成,广东工业大学集成电路学院是论文第一单位。
[1] Li, Sizhen; Qiu, Yuhao; Yu, Kai; Huang, Mo. A 140 pW, -77 dB PSRR, PMOS-Only Voltage Reference Using Pre-Regulation Technique With Gate and Bulk Feedback. IEEE TRANSACTIONS ON CIRCUITS AND SYSTEMS II-EXPRESS BRIEFS, 2025, 72(2):379-383.